Publications

2017 to present

241 Silicate-Enabled Mechanochemical Mineralization of Polymeric and Nonpolymeric PFAS into Sodium Fluoride

L.Yang, C. L. Layton, C. A. Goult, Z. Chen, R. S. Paton, V. Gouverneur

J. Am. Chem. Soc. 2026, 148, 17977–17982

pfas silicate

240 Synergistic Transition Metal and Hydrogen Bonding Phase-Transfer Catalysis Enables Enantioconvergent Allylic Fluorination with KF

Z. Wang, C. Dooley, Z. Chen, G. Poškaitė, R. S. Paton, G. C. Lloyd-Jones, V. Gouverneur

J. Am. Chem. Soc. 2026148, 14213–14222

screenshot 2026 03 25

239 Peptidic Catalysts Conformationally Tuned for Fluoride Binding and Delivery

G. Poškaitė, T. Schlatzer, Z. Chen, M. V. Popescu, R. S. Paton, V. Gouverneur

J. Am. Chem. Soc. 2026148, 9238–9243

images large ja6c01667

 

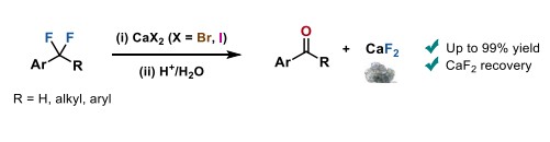
238 Defluorination of gem-difluoromethyl(ene) compounds with calcium salt

M. Escolano, Z. Chen, J. Ragus, A. Kwiatkowski, C. del Pozo, V. Gouverneur

Arkivoc 20262, 202512501

Special Issue 'Women Chemists Worldwide'

screenshot 2026 03 13

 

237 18F-Radiopharmaceutical Diversification Enabled by Deaminative Cross-Electrophile Couplings

I. F. Ogilvy, J. Ford, S. Ortalli, E. Renders, T. R. Hayes, S. Liu, I. Mortiers, A. Nikolopoulou, A. M. Sorlin, A. A. Trabanco, M. Tredwell, P. J. J. A. Buijnsters, R. Salter, V. Gouverneur

Angew. Chem. Int. Ed2025, e22650

angew toc 2 5hx10 66l

 

236 Future-proofing calcium fluoride

T. Schlatzer, V. Gouverneur 

Nat. Chem. 2025, 17, 1434, DOI: 10.1038/s41557-025-01922-9

41557 2025 1922 figa html

235 Synthesis and Inhibitory Assessment of ACE2 Inhibitors for SARS-CoV-2: An In Silico and In Vitro Study

X. Wang, J. He, L. Hosseini-Gerami, M. Thomas, S. Thompson, J. Ford, S. Ortalli, Z. Chen, G. Destro, A. Bender, F. Aigbirhio, V. Gouverneur

J. Org. Chem. 2025, 90, 10941–10947, DOI: 10.1021/acs.joc.5c00918

jo5c00918

234 Ethyl Pinacol Boronates as Advantageous Precursors for Copper-Mediated Radiofluorination

N. Hadjipaschalis, S. Ortalli, Z. Chen, R. S. Paton, J. Ford, M. Tredwell, V. Gouverneur

Org. Lett. 202527, 6545–6550, DOI: 10.1021/acs.orglett.5c02055

ol5c02055

233 Phosphate-enabled mechanochemical PFAS destruction for fluoride reuse

L. Yang, Z. Chen, C. A. Goult, T. Schlatzer, R. S. Paton, V. Gouverneur

Nature 2025, 640, 100–106, DOI: 10.1038/s41586-025-08698-5

Highlighted inCientistas descobrem método para destruir PFAS, as substâncias químicas “eternas” on Público, Pfas : l’espoir d’une prise en charge et même d’un recyclage des «polluants éternels» on Libération and Recovery of fluoride from ‘forever chemicals’ could lead to circular economy for fluorine on Nature.

41586 2025 8698 fig1 html

232 One-Step HF-Free Synthesis of Alkali Metal Fluorides from Fluorspar

T. Schlatzer, C. A. Goult, M. A. Hayward, V. Gouverneur

J. Am. Chem. Soc. 2025, 147, 6338–6342, DOI: 10.1021/jacs.4c16608 

toc

231 Enantioconvergent nucleophilic substitution via synergistic phase-transfer catalysis

C. Dooley, F. Ibba, B. B. Botlik, C. Palladino, C. A. Goult, Y. Gao, A. Lister, R. S. Paton, G. C. Lloyd-Jones, V. Gouverneur

Nat. Catal. 2025, 8, 107–115, DOI: 10.1038/s41929-024-01288-0

abstract


230 Fluorspar to fluorochemicals upon low-temperature activation in water

I. Klose, C. Patel, A. Mondal, A. Schwarz, G. Pupo, V. Gouverneur

Nature 2024, 635, 359–364, DOI: 10.1038/s41586-024-08125-1

Highlighted inSimple method converts fluorspar into fluorochemicals on c&en, Fluorspar to fluorine chemicals without going via hazardous hydrogen fluoride on chemistryworld, New route to fluorochemicals: fluorspar activated in water under mild conditions on EurekAlert, New route to fluorochemicals: fluorspar activated in water under mild conditions on Science Daily, Fluorochemicals Made Easy: Fluorspar in Water Route on Mirage News and Fluorspar activated in water under mild conditions provides new route to fluorochemicals on PhysOrg.

41586 2024 8125 fig1 html

229 18F‑Difluoromethyl(ene) Motifs via Oxidative Fluorodecarboxylation with [18F]Fluoride

S. Ortalli, J. Ford, R. Szpera, B. Stoessel, A. A. Trabanco, M. Tredwell, V. Gouverneur

Org. Lett. 2024, 26, 9368–9372, DOI: 10.1021/acs.orglett.4c03611

toc

228 Nucleophilic Fluoride Anion Delivery from Triazacyclononane-Supported Molecular Ca–F Complexes

O. Apolinar, J. J. C. Struijs, D. Sarkar, V. Gouverneur, S. Aldridge

Angew. Chem. Int. Ed2024, DOI: 10.1002/anie.202414790

screenshot 2024 09 29 at 16 43 45

227 Enabling nucleophilic reactivity in molecular calcium fluoride complexes

J. J. C. Struijs, M. A. Ellwanger, A. E. Crumpton, V. Gouverneur, S. Aldridge

Nat. Chem. 2024, 16, 1473–1480, DOI: 10.1038/s.41557-024-01524-x 

41557 2024 1524 figa html

226 Photoredox Nucleophilic (Radio)fluorination of Alkoxyamines

S. Ortalli, J. Ford, A. A. Trabanco, M. Tredwell, V. Gouverneur

J. Am. Chem. Soc2024146, 11599–11604, DOI: 10.1021/jacs.4c02474

Highlighted in: Photocatalytic Radiolabeling with 18F in Flow on HepatoChem. 

ja4c02474

225 The 18F-Difluoromethyl Group: Challenges, Impact and Outlook

J. Ford, S. Ortalli, V. Gouverneur

Angew. Chem. Int. Ed2024, e202404957, DOI: 10.1002/anie.202404957

anie202404957 toc 0001 m

224 Expedient access to 18F-Fluoroheteroarenes via Deaminative Radiofluorination of Aniline-Derived Pyridinium Salts

J. Ford, S. Ortalli, Z. Chen, J. B. I. Sap, M. Tredwell, V. Gouverneur

Angew. Chem. Int. Ed. 2024, e202404945, DOI: 10.1002/anie.202404945

screenshot 2024 05 14 at 22 50 43

223 Mechanochemical difluoromethylation of (thio)phenols and N-heterocycles

J. Ford, B. Hopkin, J. B. I. Sap, V. Gouverneur

Isr. J. Chem. 2023, e202300109, DOI: 10.1002/ijch.202300109

screenshot 2024 05 14 at 23 01 57

 

222 Fluorochemicals from fluorspar via a phosphate-enabled mechanochemical process that bypasses HF

C. Patel, E. André-Joyaux, J. A. Leitch, X. Martínez De Irujo-Labalde, F. Ibba, J. Struijs, M. A. EllWanger, R. Paton, D. L. Browne, G. Pupo, S. Aldridge, M. A. Hayward, V. Gouverneur

Science 2023381, 302–306, DOI: 10-1126/science.adi1557

Highlighted inOxford team leads biomimetic fluorocarbon breakthrough on The Engineer, Nature inspires breakthrough achievement: Hazard-free production of fluorochemicals on Phys.org, Widely-used chemicals can now be made without releasing toxic gas on New Scientist and Nature inspires breakthrough achievement: hazard-free production of fluorochemicals on EurekAlert. 

Check out our Behind the Paper video!

screenshot 2024 05 14 at 23 05 05

 

221 Regiodivergent Nucleophilic Fluorination under Hydrogen Bonding Catalysis: A Computational and Experimental Study

M. A. Horwitz, A. B. Dürr, K. Afratis, Z. Chen, J. Soika, K. E. Christensen, M. Fushimi, R. S. Paton, V. Gouverneur

J. Am. Chem. Soc. 2023145, 9708–9717, DOI: 10.1021/jacs.3c01303

ja3c01303

 

220 Posttranslational, site-directed photochemical fluorine editing of protein sidechains to probe residue oxidation state via 19F-nuclear magnetic resonance

P. G. Isenegger, B. Josephson, B. Gaunt, M. J. Davy, V. Gouverneur, A. J. Baldwin, B. G. Davis

Nat. Protoc202318, 1543–1562, DOI: 10.1038/s41596-022-00800-9

41596 2022 800 fig1 html

 

219 A radioiodinated rucaparib analogue as an Auger electron emitter for cancer therapy

G. Destro, Z. Chen, C. Y. Chan, C. Fraser, G. Dias, M. Mosley, F. Guibbal, V. Gouverneur, B. Cornelissen

Nucl. Med. Bio. 2023, 116–117, 108312, DOI: 10.1016/j.nucmedbio.2022.108312

1 s2 0 s096980512202306x ga1 lrg

 

218  Correlation between molar activity, injection mass and uptake of the PARP targeting radiotracer [18F]olaparib in mouse models of glioma

C. Y. Chan, S. L. Hopkins, F. Guibbal, A. Pacelli, J. Baguña Torres, M. Mosley, D. Lau, P. Isenegger, Z. Chen, T. C. Wilson, G. Dias, R. Hueting, V. Gouverneur, B. Cornelissen

EJNMMI Res 2022, 12, 67. DOI: 10.1186/s13550-022-00940-9

13550 2022 940 fig1 html

 

217 Imaging PARP with [18F]rucaparib in pancreatic cancer models

C. Y. Chan, Z. Chen, G. Destro, M. Veal, D. Lau, E. O'Neill, G. Dias, M. Mosley, V. Kersemans, F. Guibbal, V. Gouverneur, B. Cornelissen 

Eur J Nucl Med Mol Imaging 202249, 3668–3678. DOI: 10.1007/s00259-022-05835-4

259 2022 5835 fig1 html

 


 

216 [18F]Difluorocarbene for Positron Emission Tomography

J. B. I. Sap,  C. F. Meyer, J. Ford, N. J. W. Straathof, A. B. Dürr, M. J. Lelos, S. J. Paisey, T. A. Mollner, S. M. Hell, A. A. Trabanco, C. Genicot,  C. W. am Ende, R. S. Paton, M. Tredwell, V. Gouverneur

Nature 2022606, 102–108. DOI:10.1038/s41586-022-04669-2

screenshot 2024 05 14 at 23 18 35

 

215 Multi-patient dose synthesis of [18F]Flumazenil via a copper-mediated 18F-fluorination

T. Gendron,  G. Destro, N. J. W. Straathof, J. B. I. Sap, F. Guibbal, C. Vriamont, C. Caygill, J. R. Atack, A. J. Watkins, C. Marshall, R. Hueting, C. Warnier,  V. Gouverneur, M. Tredwell

EJNMMI radiopharm. chem. 20227, 5. DOI:10.1186/s41181-022-00158-z

41181 2022 158 fig1 html

 

214 Hydrogen Bonding Phase-Transfer Catalysis with Alkali Metal Fluorides and Beyond

G. Pupo, V. Gouverneur

J. Am. Chem. Soc. 2022, 144, 5200–5213. DOI:10.1021/jacs.2c00190

images medium ja2c00190

 

213 Asymmetric Azidation under Hydrogen Bonding Phase-Transfer Catalysis: A Combined Experimental and Computational Study

J. Wang, M. A. Horwitz, A. B. Dürr, F. Ibba, G. Pupo, Y. Gao, P. Ricci, K. E. Christensen, T. P. Pathak, T. D. W. Claridge, G. C. Lloyd-Jones, R. S. Paton, V. Gouverneur

J. Am. Chem. Soc. 2022, 144, 4572–4584. DOI:10.1021/jacs.1c13434

images medium ja1c13434

 

212 Scalable Synthesis of (R,R)-N,N-Dibenzyl-2-fluorocyclohexan-1-amine with CsF under Hydrogen Bonding Phase-Transfer Catalysis

A. C. Vicini, D-M Alozie, P. Courtes, G. Roagna, C. Aubert, V. Certal, Y. El-Ahmad, S. Roy, V. Gouverneur

Org. Process Res. Dev. 2021, 25, 2730–2737. DOI:10.1021/acs.oprd.1c00312

images medium op1c00312

 

211 Multigram synthesis of N-alkyl bis-ureas for asymmetric hydrogen bonding phase-transfer catalysis

A. C. Vicini, G. Pupo, F. Ibba, V. Gouverneur

Nat. Protoc. 2021, 16, 5559–5591. DOI:10.1038/s41596-021-00625-y

Highlighted in: Protocols & Methods Community

41596 2021 625 fig2 html

 

210 Post-translational insertion of boron in proteins to probe and modulate function

T. A. Mollner, P. G. Isenegger, B. Josephson, C. Buchanan, L. Lercher, D. Oehlrich, D. Flemming Hansen, S. Mohammed, A. J. Baldwin, V. Gouverneur, B. G. Davis 

Nat. Chem. Biol. 2021, 17, 1245–1261. DOI:10.1038/s41589-021-00883-7 

41589 2021 883 figa html

 

209 Closing the gap between 19F and 18F chemistry

J. Ajenjo, G. Destro, F. Guibbal, B. Cornelissen, V. Gouverneur 

EJNMMI radiopharm. chem. 2021, 6, 33. DOI:10.1186/s41181-021-00143-y

41181 2021 143 fig2 html

 

208 Copper-Mediated Radiosynthesis of [18F]Rucaparib

Z. Chen, G. Destro, F. Guibbal, C. Y. Chan, B. Cornelissen, V. Gouverneur 

Org. Lett. 202123, 7290–7294. DOI:10.1021/acs.orglett.1c02770

images medium ol1c02770 0008

 

207 Hydrofluoromethylation of alkenes with fluoroiodomethane and beyond

S. M. Hell, C. F. Meyer, S. Ortalli, J. Sap, X. Chen, V. Gouverneur 

Chem. Sci. 202112, 12149–12155. DOI:10.1039/d1sc03421a

d1sc03421a

 

206 Contemporary synthetic strategies in organofluorine chemistry

R. Britton, V. Gouverneur, J.-H Lin, M. Meanwell, C. Ni, G. Pupo, J.-C. Xiao, J. Hu 

Nat. Rev. Methods Primers. 20211, 47. DOI:10.1038/s43586-021-00042-1

43586 2021 42 fig1 html

 

205 Late-stage difluoromethylation: concepts, developments and perspective

J. B. I. Sap, C. F. Meyer, N. J. W. Straathof, N. Iwumene, C. W. am Ende, A. A. Trabanco, V. Gouverneur 

Chem. Soc. Rev. 202150, 8214–8247DOI:10.1039/D1CS00360G

get

 

204 Residue-Selective Protein C-Formylation via Sequential Difluoroalkylation-Hydrolysis

M. Imiołek, P. G. Isenegger, W. Ng, A. Khan, V. Gouverneur, B. G. Davis

ACS Cent. Sci. 20217, 145–155DOI:10.1021/acscentsci.0c01193

images medium oc0c01193

 

203 18F-meta-fluorobenzylguanidine (18F-mFBG) to monitor changes in norepinephrine transporter expression in response to therapeutic intervention in neuroblastoma models

S. Turnock, D. R. Turton, C. D. Martins, L. Chesler, T. C. Wilson, V. Gouverneur, G. Smith, G. Kramer-Marek

Sci. Rep. 202010, 1–12. DOI:10.1038/s41598-020-77788-3

41598 2020 77788 fig1 html

 

202 Impact of Multiple Hydrogen Bonds with Fluoride on Catalysis: Insight from NMR Spectroscopy

F. Ibba, G. Pupo, A. L. Thompson, J. M. Brown, T. D. W. Claridge, V. Gouverneur

J. Am. Chem. Soc. 2020, 142, 19731–19744. DOI:10.1021/jacs.0c09832

images medium ja0c09832

 

201 Light-driven post-translational installation of reactive protein side chains

B. Josephson, C. Fehl, P. G. Isenegger, S. Nadal, T. H. Wright, A. W. J. Poh, B. J. Bower, A. M. Giltrap, L. Chen, C. Batchelor-McAuley, G. Roper, O. Arisa, J. B. I. Sap, A. Kawamura, A. J. Baldwin, S. Mohammed, R. G. Compton, V. Gouverneur, B. G. Davis

Nature 2020, 585, 530–537. DOI:10.1038/s41586-020-2733-7

Highlighted in: Radical post-translational modifications

Chemistry World 2021

41586 2020 2733 fig1 html

 

200 Radiosynthesis of [18F]ArylSCF2H using aryl boronic acids, S-(chlorofluoromethyl)benzenesulfonothioate and [18F]fluoride

Q. Zhao, P. G. Isenegger, T. C. Wilson, J. B. I. Sap, F. Guibbal, L. Lu, V. Gouverneur, Q. Shen

Chinese Chem. Soc. Chem. 2020, 2, 1921–1928. DOI:10.31635/ccschem.020.202000399

keyimage

 

199 Synthesis of Fluorinated Alkyl Aryl Ethers by Palladium-Catalyzed C-O Cross-Coupling

R. Szpera, P. G. Isenegger, M. Ghosez, N. J. W. Straathof, R. Cookson, D. C. Blakemore, P. Richardson, V. Gouverneur

Org. Lett. 2020, 22, 6573–6577. DOI:10.1021/acs.orglett.0c02347

images medium ol0c02347

 

198 Hydrogen Bonding Phase-Transfer Catalysis with Ionic Reactants: Enantioselective Synthesis of γ-Fluoroamines

G. Roagna, D. Ascough, F. Ibba, A. C. Vicini, A. Fontana, K. Christensen, A. Peschiulli, D. Oehlrich, M. Misale, A. Trabanco, R. Paton, G. Pupo, V. Gouverneur

J. Am. Chem. Soc. 2020, 142, 14045–14051. DOI:10.1021/jacs.0c05131

This publication is also available as a Live Slide format

Highlighted in: Bisurea-Catalyzed Enantioselective Synthesis of γ-Fluoroamines

Synfacts 2020, 16, 1099–1100

images medium ja0c05131

 

197 Organophotoredox Hydrodefluorination of Trifluoromethylarenes with Translational Applicability to Drug Discovery

J. B. I. Sap, N. J. W. Straathof, T. Knauber, C. F. Meyer, M. Médebielle, L. Buglioni, C. Genicot, A. A. Trabanco, T. Noël, C. W. am Ende, V. Gouverneur

J. Am. Chem. Soc. 2020, 142, 9181–9187DOI:10.1021/jacs.0c03881

Highlighted in: Some Items of Interest to Process R&D Chemists and Engineers

W. Zhao, S. Guizzetti, J. A. Schwindeman, D. S. B. Daniels, J. J. Douglas, S. Petit, C. B. Kelly, A. Kosanovich, J. Knight

Org. Process Res. Dev. 202024, 1351–1363

ja0c03881

 

196 [18F]AZD2461, an Insight on Difference in PARP Binding Profiles for DNA Damage Response PET Imaging

F. Guibbal, S. L. Hopkins, A. Pacelli, P. G. Isenegger, M. Mosley, J. B. Torres, G. M. Dias, D. Mahaut, R. Hueting, V. Gouverneur, B. Cornelissen

Mol Imaging Biol. 2020, 22, 1226–1234. DOI:10.1007/s11307-020-01497-6

11307 2020 1497 fig2 html

 

195 Hydrosulfonylation of Alkenes with Sulfonyl Chlorides under Visible Light Activation

S. M. Hell, C. F. Meyer, A. Misale, J. B. Sap, K. E. Christensen, M. C. Willis, A. A. Trabanco, V. Gouverneur

Angew. Chem. Int. Ed. 2020, 59, 11620–11626. DOI:10.1002/anie.202004070

anie202004070 toc 0001 m

 

194 Manual and automated Cu-mediated radiosynthesis of the PARP inhibitor [18F]olaparib

F. Guibbal, P. G. Isenegger, T. C. Wilson, A. Pacelli, D. Mahaut, J. B. I. Sap, N. J. Taylor, S. Verhoog, S. Preshlock, R. Hueting, B. Cornelissen, V. Gouverneur

Nat Protoc. 202015, 1525–1541. DOI:10.1038/s41596-020-0295-7

screenshot 2024 05 14 at 23 44 33

 

193 18F-Trifluoromethanesulfinate enables Direct C–H 18F-Trifluoromethylation of Native Aromatic Residues in Peptides

C. W. Kee, O. Tack, F. Guibbal, T. C. Wilson, P. G. Isenegger, M. Imiołek, S Verhoog, M. Tilby, G. Boscutti, S. Ashworth, J Chupin, R. Kashani, A. W. J. Poh, J. K. Sosabowski, S. Macholl, C. Plisson, B. Cornelissen, M. C. Willis, J. Passchier, B. G. Davis, V. Gouverneur

J. Am. Chem. Soc. 2020142, 1180–1185DOI:10.1021/jacs.9b11709

images medium ja9b11709

 

192 Silyl Radical-Mediated Activation of Sulfamoyl Chlorides Enables Direct Access to Aliphatic Sulfonamides from Alkene

S. M. Hell, C. F. Meyer, G. Laudadio, A. Misale, M. C. Willis, T. Noel, A. A. Trabanco, V. Gouverneur

J. Am. Chem. Soc. 2020142, 720–725. DOI:10.1021/jacs.9b13071

Highlighted in: Easy Access to Aliphatic Sulfonamides using Sulfamoyl Chlorides Under Visible Light Activation

S. M. Hell, C. F. Meyer, A. A. Trabanco, V. Gouverneur 

J. Vis. Exp. 2020, e6138

Highlighted on the Organic Chemistry Portal

images medium ja9b13071

 

191 Hydrochlorofluoromethylation of Unactivated Alkenes with Chlorofluoroacetic Acid

C. F. Meyer, S. M. Hell, J. B. I. Sap, A. Misale, A. Peschiulli, D. Oehlrich, A. A. Trabanco, V. Gouverneur

Invited contribution to the special issue in honour of Professor Steve Davies.

Tetrahedron 2019, 75, 130679–130680. DOI:10.1016/j.tet.2019.130679

1 s2 0 s0040402019310531 fx1

 

190 Imaging of translocator protein upregulation is selective for pro-inflammatory polarised astrocytes and microglia

M. Pannell, V. Economopoulos, T. C. Wilson, V.  Kersemans, P. G. Isenegger, J. R. Larkin, S. Smart, S. Gilchrist, V. Gouverneur, N. R. Sibson

GLIA 2019, 68, 280–297. DOI:10.1002/glia.23716

glia23716 fig 0007 m

 

189 In My Element: Fluorine

V. Gouverneur

In My Element series celebrates the personal accounts from Chemistry - A European Journal Editorial Board members for the 2019 International Year
of the Periodic Table.

Chem. Eur. J.  201925, 7958–7959. DOI:10.1002/chem.201902265

chem201902265 toc 0001 m

 

188 Hydrodifluoromethylation of Alkenes with Difluoroacetic Acid

C. F. Meyer, S. M. Hell, A. Misale, A. A. Trabanco, V. Gouverneur

Angew. Chem. Int. Ed. 2019, 58, 8828–8833. DOI:10.1002/anie.201903801

anie201903801 toc 0001 m

 

187 The fluorination of C–H bonds: developments and perspectives

R. Szpera, D. F. J. Moseley, L. B. Smith, A. J. Sterling, V. Gouverneur

Angew. Chem. Int. Ed. 2019, 58, 14824–14848. DOI:10.1002/anie.201814457

anie201814457 toc 0001 m

 

186 Synthesis of 18F-Difluoromethylarenes Using Aryl Boronic Acids, Ethyl bromofluoroacetate and [18F]Fluoride

J. B. I. Sap, T. C. Wilson, C. W. Kee, N. J. W. Straathof, C. W. Amende, P. Mukherjee, L. Zhang, C. Genicot, V. Gouverneur

Chem. Sci. 201910, 3237–3241. DOI: 10.1039/C8SC05096A

get

 

185 Hydrogen Bonding Phase-Transfer Catalysis with Potassium Fluoride: Enantioselective Synthesis of β-Fluoroamines

G. Pupo, A. C. Vicini, D. M. H. Ascough, F. Ibba, K. E. Christensen, A. L. Thompson, J. M. Brown, R. S. Paton, V. Gouverneur

J. Am. Chem. Soc. 2019, 141, 2878–2883. DOI: 10.1021/jacs.8b12568

ja 2018 125682

 

184 Synthesis and Reactivity of a-Cumyl Bromodifluoromethanesulfenate: Application to the Radiosynthesis of [18F]ArylSCF3

J. Wu, Q. Zhao, T. C. Wilson, S. Verhoog, L. Lu, V. Gouverneur and Q. Shen

Angew. Chem. Int. Ed. 2019, 58, 1–6. DOI: 10.1002/anie.20181370

anie201813708 toc 0001 m

 

183 Data-mining the diaryl(thio)urea conformational landscape: Understanding the contrasting behavior of ureas and thioureas with quantum chemistry

G. Luchini, D. M. H. Ascough, J. V. Alegre-Requena, V. Gouverneur, R. S. Paton

Special Issue Paper: Computational Chemistry in Organic Synthesis. Guest Editors: Dean Tantillo and John Wood

Tetrahedron 2019, 75, 69–-702. DOI: 10.1016/j.tet.2018.12.033

1 s2 0 s0040402018315114 fx1

 

182 Enantioselective rhodium-catalysed insertion of trifluorodiazoethanes into tin hydrides

S. Hyde, J. Veliks, D. M. H. Ascough, R. Szpera, R. S. Paton, V. Gouverneur

Special Issue in honour of Prof Leon Ghosez

Tetrahedron 2019, 75, 17–25. DOI: 10.1016/j.tet.2018.11.022

1 s2 0 s0040402018313620 fx1

 

181 PET Imaging of PARP Expression Using 18F-Olaparib

T. C. Wilson, M. A. Xavier, J. Knight, S. Verhoog, J. B. Torres, M. Mosley, S. L. Hopkins, S. Wallington, P. D. Allen, V. Kersemans, R. Hueting, S. Smart, V. Gouverneur, B. Cornelissen

J. Nucl. Med. 2018, 60, 504–510. DOI: 10.2967/jnumed.118.213223

504fig2

 

180 Boron reagents for divergent radiochemistry

T. C. Wilson, T. Cailly, V. Gouverneur

Chem Soc Rev. 2018, 47, 6990–7005. DOI: 10.1039/c8cs00499d

get

 

179 Asymmetric nucleophilic fluorination under hydrogen bonding phase-transfer catalysis

G. Pupo, F. Ibba, D. M. H. Ascough, A. C. Vicini, P. Ricci, K. E. Christensen, L. Pfeifer, J. R. Morphy, J. M. Brown, R. S. Paton, V. Gouverneur

Science 2018, 360, 638–642. DOI: 10.1126/science.aar7941

screenshot 2024 05 14 at 23 57 08

 

178 Highly Diastereoselective Synthesis of Trifluoromethyl Indolines by Interceptive Benzylic Decarboxylative Cycloaddition of Nonvinyl, Trifluoromethyl Benzoxazinanones with Sulfur Ylides under Palladium Catalysis

N. Punna, P. Das, V. Gouverneur, N. Shibata

Org. Lett. 2018, 20, 1526–1529. DOI: 10.1021/acs.orglett.8b00237

images medium ol 2018 00237c

 

177 Controlled Single and Double Iodofluorination of Alkynes with DIH- and HF-Based Reagents

L. Pfeifer, V. Gouverneur

Org. Lett. 201820, 1576–1579. DOI: 10.1021/acs.orglett.8b00321

ol 2018 00321u

 

176 Selective Radical Trifluoromethylation of Native Residues in Proteins

M. Imiołek, G. Karunanithy, W-L. Ng, A. J. Baldwin, V. Gouverneur, B. G. Davis

J. Am. Chem. Soc. 2018, 7, 1568–1571. DOI: 10.1021/jacs.7b10230

images medium ja 2017 10230z

 

175 18F-Trifluoromethylation of Unmodified Peptides with 5-18F-(Trifluoromethyl)dibenzothiophenium Trifluoromethanesulfonate

S. Verhoog, C. W. Kee, Y. Wang, T. Khotavivattana, T. C. Wilson, V. Kersemans, S. Smart, M. Tredwell, B. G. Davis, V. Gouverneur

J. Am. Chem. Soc. 2018, 7, 1572–1575. DOI: 10.1021/jacs.7b10227

ja 2017 102276

 

174 Synthesis, characterization, thermal and surface properties of co- and terpolymers based on fluorinated a-methylstyrenes and styrene

J. Walkowiak-Kulikowska, A. Szwajca, V. Gouverneur, B. Ameduri 

Polym. Chem-Uk 2017, 8, 6558–6569. DOI: 10.1039/C7PY01529A

get

 

173 De-Risking the Cu-Mediated 18F-Fluorination of Heterocyclic PET Radioligands

N. J. Taylor, E. Emer, S. Preshlock, M. Schedler, M. Tredwell, S. Verhoog, J. Mercier, C. Genicot, V. Gouverneur

J. Am. Chem. Soc. 2017, 139, 8267–8276. DOI: 10.1021/jacs.7b03131

images medium ja 2017 031319

 

172 Synthesis and Reactivity of 18F-Labeled α,α-Difluoro-α-Aryloxyacetic Acids

T. Khotavivattana, S. Calderwood, S. Verhoog, L. Pfeifer, S. Preshlock, N. Vasdev, T. L. Collier, V. Gouverneur

Org. Lett. 2017, 19, 568–571. DOI: 10.1021/acs.orglett.6b03730

ol 2016 03730r

 

171 The Dual Role of Thiourea in the Thiotrifluoromethylation of Alkenes

P. Ricci, T. Khotavivattana, L. Pfeifer, M. Médebielle, J. R. Morphy, V. Gouverneur 

Chem. Sci. 2017, 8, 1195–1199. DOI: 10.1039/C6SC02790C

get

 

170 Bridging the gaps in 18F PET tracer development

M. G. Campbell, J. Mercier, C. Genicot, V. Gouverneur, J. M. Hooker, T. Ritter

Nat. Chem. 20179, 1–3. DOI: 10.1038/nchem.2693 

41557 2017 article bfnchem2693 fig1 html

 

169 Twisting the Ethano-Tröger’s Base: The Bisamide

R. Pereira, L. Pfeifer, J. Fournier, V. Gouverneur V, J. Cvengroš

Org. Biomol. Chem. 201715, 628–633. DOI: 10.1039/C6OB02359B

get

168 Targeting Telomerase with Radiolabeled Inhibitors

P. A. Waghorn, M. R. Jackson, V. Gouverneur, K. A. Vallis

Eur. J. Med. Chem. 2017, 125, 117–129. DOI: 10.1016/j.ejmech.2016.09.028

fx1